Dynamic Scaling of Unit Tests for Code Reward Modeling
Abstract
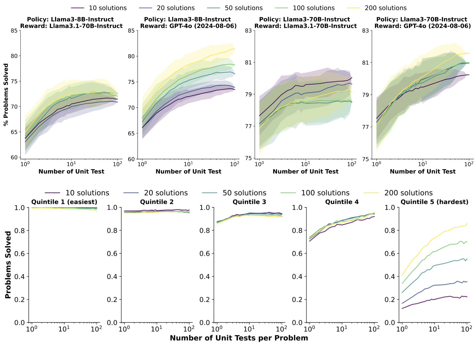
Generating and dynamically scaling unit tests improves the performance of large language models on complex reasoning tasks like code generation.
Current large language models (LLMs) often struggle to produce accurate responses on the first attempt for complex reasoning tasks like code generation. Prior research tackles this challenge by generating multiple candidate solutions and validating them with LLM-generated unit tests. The execution results of unit tests serve as reward signals to identify correct solutions. As LLMs always confidently make mistakes, these unit tests are not reliable, thereby diminishing the quality of reward signals. Motivated by the observation that scaling the number of solutions improves LLM performance, we explore the impact of scaling unit tests to enhance reward signal quality. Our pioneer experiment reveals a positive correlation between the number of unit tests and reward signal quality, with greater benefits observed in more challenging problems. Based on these insights, we propose CodeRM-8B, a lightweight yet effective unit test generator that enables efficient and high-quality unit test scaling. Additionally, we implement a dynamic scaling mechanism that adapts the number of unit tests based on problem difficulty, further improving efficiency. Experimental results show that our approach significantly improves performance across various models on three benchmarks (e.g., with gains of 18.43% for Llama3-8B and 3.42% for GPT-4o-mini on HumanEval Plus).
Community
Dynamic Scaling of Unit Tests for Code Reward Modeling
[๐ Homepage] |[๐ arXiv] | [๐ Dataset] | [๐ฆ Model] | [๐ป Code]
We explore the impact of scaling unit tests to enhance code reward signal quality across different LLMs and unit test scales. The result reveals a positive correlation between the number of unit tests and reward signal quality, with greater benefits observed in more challenging problems.
In light of these observations, we train a lightweight yet effective unit test generator named CodeRM-8B and employ dynmaic scaling over problem of different difficulties to facilitate efficient and high-quality unit test scaling. Experimental results show that our approach significantly improves performance across various models on three benchmarks (e.g., with gains of 18.43% for Llama3-8B and 3.42% for GPT-4o-mini on HumanEval Plus).
This is an automated message from the Librarian Bot. I found the following papers similar to this paper.
The following papers were recommended by the Semantic Scholar API
- CodeLutra: Boosting LLM Code Generation via Preference-Guided Refinement (2024)
- PerfCodeGen: Improving Performance of LLM Generated Code with Execution Feedback (2024)
- Forest-of-Thought: Scaling Test-Time Compute for Enhancing LLM Reasoning (2024)
- Outcome-Refining Process Supervision for Code Generation (2024)
- Language Models are Hidden Reasoners: Unlocking Latent Reasoning Capabilities via Self-Rewarding (2024)
- EDA-Aware RTL Generation with Large Language Models (2024)
- SRA-MCTS: Self-driven Reasoning Augmentation with Monte Carlo Tree Search for Code Generation (2024)
Please give a thumbs up to this comment if you found it helpful!
If you want recommendations for any Paper on Hugging Face checkout this Space
You can directly ask Librarian Bot for paper recommendations by tagging it in a comment:
@librarian-bot
recommend
Models citing this paper 1
Datasets citing this paper 1
Spaces citing this paper 0
No Space linking this paper
